Redis学习-redis底层数据结构
动态字符串
redis是C语言编写,但是字符串并不是简单地的C字符串。它是SDS(simple dynamic string)。
/*
* 保存字符串对象的结构
*/
struct sdshdr {
// buf 中已占用空间的长度
int len;
// buf 中剩余可用空间的长度
int free;
// 数据空间
char buf[];
};
1、len 变量,用于记录buf 中已经使用的空间长度(这里指出Redis 的长度为5)
2、free 变量,用于记录buf 中还空余的空间(初次分配空间,一般没有空余,在对字符串修改的时候,会有剩余空间出现)
3、buf 字符数组,用于记录我们的字符串(记录Redis)
SDS 与 C 字符串的区别
获取字符串长度(SDS O(1)/C 字符串 O(n))
传统的C 字符串 使用长度为N+1 的字符串数组来表示长度为N 的字符串,所以为了获取一个长度为C字符串的长度,必须遍历整个字符串。
和C 字符串不同,SDS 的数据结构中,有专门用于保存字符串长度的变量,我们可以通过获取len 属性的值,直接知道字符串长度。
杜绝缓冲区溢出
C 字符串 不记录字符串长度,除了获取的时候复杂度高以外,还容易导致缓冲区溢出。
假设程序中有两个在内存中紧邻着的 字符串 s1 和 s2,其中s1 保存了字符串“redis”,二s2 则保存了字符串“MongoDb”
如果我们现在将s1 的内容修改为redis cluster,但是又忘了重新为s1 分配足够的空间,这时候就会出现以下问题: 原本s2 中的内容已经被S1的内容给占领了,s2 现在为 cluster,而不是“Mongodb”。
Redis 中SDS 的空间分配策略完全杜绝了发生缓冲区溢出的可能性:
当我们需要对一个SDS 进行修改的时候,redis 会在执行拼接操作之前,预先检查给定SDS 空间是否足够,如果不够,会先拓展SDS 的空间,然后再执行拼接操作。
减少修改字符串时带来的内存重分配次数
预分配内存,提前申请空间。 C语言字符串在进行字符串的扩充和收缩的时候,都会面临着内存空间的重新分配问题。
-
字符串拼接会产生字符串的内存空间的扩充,在拼接的过程中,原来的字符串的大小很可能小于拼接后的字符串的大小,那么这样的话,就会导致一旦忘记申请分配空间,就会导致内存的溢出。
-
字符串在进行收缩的时候,内存空间会相应的收缩,而如果在进行字符串的切割的时候,没有对内存的空间进行一个重新分配,那么这部分多出来的空间就成为了内存泄露。
举个例子:我们需要对下面的SDS进行拓展,则需要进行空间的拓展,这时候redis 会将SDS的长度修改为13字节,并且将未使用空间同样修改为13字节 。这样下次扩展字符串的时候可能就不需要申请了,因为上一次多申请了13个。
惰性空间释放
我们在观察SDS 的结构的时候可以看到里面的free 属性,是用于记录空余空间的。我们除了在拓展字符串的时候会使用到free 来进行记录空余空间以外,在对字符串进行收缩的时候,我们也可以使用free 属性来进行记录剩余空间,这样做的好处就是避免下次对字符串进行再次修改的时候,需要对字符串的空间进行拓展。
然而,我们并不是说不能释放SDS 中空余的空间,SDS 提供了相应的API,让我们可以在有需要的时候,自行释放SDS 的空余空间。
通过惰性空间释放,SDS 避免了缩短字符串时所需的内存重分配操作,并未将来可能有的增长操作提供了优化
二进制安全
C 字符串中的字符必须符合某种编码,并且除了字符串的末尾之外,字符串里面不能包含空字符,否则最先被程序读入的空字符将被误认为是字符串结尾,这些限制使得C字符串只能保存文本数据,而不能保存想图片,音频,视频,压缩文件这样的二进制数据。
但是在Redis中,不是靠空字符来判断字符串的结束的,而是通过len这个属性。那么,即便是中间出现了空字符对于SDS来说,读取该字符仍然是可以的。
总结
SDS相比C字符串好处多多。
- 获取字符串长度不用再遍历。
- 字符串变长会校验空间,不会溢出。
- 扩容的时候会多申请空间,减少内存分配次数。
- 可以保持二进制数据。图片、视频、空格都不怕了。
链表
redis的list是一个双向链表。
链表的特性
-
双端:链表节点带有prev 和next 指针,获取某个节点的前置节点和后置节点的时间复杂度都是O(N)
-
无环:表头节点的 prev 指针和表尾节点的next 都指向NULL,对立案表的访问时以NULL为截止
-
表头和表尾:因为链表带有head指针和tail 指针,程序获取链表头结点和尾节点的时间复杂度为O(1)
-
长度计数器:链表中存有记录链表长度的属性 len
-
多态:链表节点使用 void* 指针来保存节点值,并且可以通过list 结构的dup 、 free、 match三个属性为节点值设置类型特定函数。
字典
在字典中,一个键(key)可以和一个值(value)进行关联,字典中的每个键都是独一无二的。在C语言中,并没有这种数据结构,但是Redis 中构建了自己的字典实现。
SET msg “hello world”
创建这样的键值对(“msg”,“hello world”)在数据库中就是以字典的形式存储.
如果出现hash 值相同的情况怎么办?Redis 采用了链地址法:

当k1 和k0 的hash 值相同时,将k1中的next 指向k0 想成一个链表。
Rehash
rehash就是扩容和缩容。
加载因子(load factor) = ht[0].used / ht[0].size 也就是所有的元素个数 / 桶的个数
扩容:
- 没有执行BGSAVE和BGREWRITEAOF指令的情况下,哈希表的加载因子大于等于1。
- 正在执行BGSAVE和BGREWRITEAOF指令的情况下,哈希表的加载因子大于等于5。
收缩:
- 加载因子小于0.1时,程序自动开始对哈希表进行收缩操作。
扩容和收缩的数量
扩容:
- 第一个大于等于ht[0].used * 2的2^n(2的n次方幂)。
收缩:
- 第一个大于等于ht[0].used的2^n(2的n次方幂)。
hash的扩容和缩容都不是一下就完成的。而是·渐进式的,这样可以避免暂时的卡住。
甚至在进行期间,每次对哈希表的增删改查操作,除了正常执行之外,还会顺带将ht[0]哈希表相关键值对rehash到ht[1]。
ziplist 压缩列表。
redis的列表键和哈希键的底层实现之一。此数据结构是为了节约内存而开发的。和各种语言的数组类似,它是由连续的内存块组成的,这样一来,由于内存是连续的,就减少了很多内存碎片和指针的内存占用,进而节约了内存。
然后文中的entry的结构是这样的:

元素的遍历 先找到列表尾部元素, 然后再根据ziplist节点元素中的previous_entry_length属性,来逐个遍历。
整数集合
整数集合(intset)是Redis用于保存整数值的集合抽象数据结构,可以保存类型为int16_t、int32_t、int64_t的整数值,并且保证集合中不会出现重复元素 整数集合是集合(Set)的底层实现之一,如果一个集合只包含整数值元素,且元素数量不多时,会使用整数集合作为底层实现
typedef struct intset {
// 编码方式
uint32_t encoding;
// 集合包含的元素数量
uint32_t length;
// 保存元素的数组
int8_t contents[];
} intset;
contents数组:整数集合的每个元素在数组中按值的大小从小到大排序,且不包含重复项
length记录整数集合的元素数量,即contents数组长度
encoding决定contents数组的真正类型,如INTSET_ENC_INT16、INTSET_ENC_INT32、INTSET_ENC_INT64

跳跃表
个人理解有点像mysql索引的B+树,为的就是zset快速查找。
一个普通的单链表查询一个元素的时间复杂度为O(N),即便该单链表是有序的。使用跳跃表(SkipList)是来解决查找问题的,它是一种有序的数据结构,不属于平衡树结构,也不属于Hash结构,它通过在每个节点维持多个指向其他节点的指针,而达到快速访问节点的目的。
跳跃表是有序集合(Sorted Set)的底层实现之一,如果有序集合包含的元素比较多,或者元素的成员是比较长的字符串时,Redis会使用跳跃表做有序集合的底层实现
跳跃表其实可以把它理解为多层的链表,它有如下的性质
多层的结构组成,每层是一个有序的链表 最底层(level 1)的链表包含所有的元素 跳跃表的查找次数近似于层数,时间复杂度为O(logn),插入、删除也为 O(logn) 跳跃表是一种随机化的数据结构(通过抛硬币来决定层数)
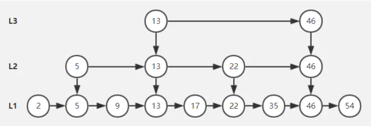
那么如何来理解跳跃表呢,我们从最底层的包含所有元素的链表开始,给定如下的链表
然后我们每隔一个元素,把它放到上一层的链表当中,这里我把它叫做上浮(注意,科学的办法是抛硬币的方式,来决定元素是否上浮到上一层链表,我这里先简单每隔一个元素上浮到上一层链表,便于理解),操作完成之后的结构如下
查找元素的方法是这样,从上层开始查找,大数向右找到头,小数向左找到头,例如我要查找17,查询的顺序是:13 -> 46 -> 22 -> 17;如果是查找35,则是 13 -> 46 -> 22 -> 46 -> 35;如果是54,则是 13 -> 46 -> 54

跳跃表节点的删除和添加都是不可预测的,很难保证跳表的索引是始终均匀的,抛硬币的方式可以让大体上是趋于均匀的
redis五种数据结构的实现
redis对象 redis中并没有直接使用以上所说的各种数据结构来实现键值数据库,而是基于一种对象,对象底层再间接的引用上文所说的具体的数据结构。
根据对象的类型可以判断一个对象是否可以执行给定的命令,也可针对不同的使用场景,对象设置有多种不同的数据结构实现,从而优化对象在不同场景下的使用效率

字符串
其中:embstr和raw都是由SDS动态字符串构成的。唯一区别是:raw是分配内存的时候,redisobject和 sds 各分配一块内存,而embstr是redisobject和raw在一块儿内存中。
列表

hash

set

zset
第一种使用ziplist。 前提:保存元素数量小于128,并且每个元素长度小于64字节 (这两个参数可以通过zset-max-ziplist-entries 选项和 zset-max-ziplist-value 进行修改)
ziplist原理:
压缩列表(ziplist)是Redis为了节省内存而开发的,是由一系列特殊编码的连续内存块组成的顺序型数据结构,一个压缩列表可以包含任意多个节点(entry),每个节点可以保存一个字节数组或者一个整数值。

使用字典和跳跃表 使用跳表的时候并不是完全是跳表,是hash表和跳表的组合。
typedef struct zset{
//跳跃表
zskiplist *zsl;
//字典
dict *dice;
} zset;
字典的键保存元素的值,字典的值则保存元素的分值;跳跃表节点的 object 属性保存元素的值,跳跃表节点的 score 属性保存元素的分值。
为什么不直接用跳跃表? 假如我们单独使用 字典,虽然能以 O(1) 的时间复杂度查找成员的分值,但是因为字典是以无序的方式来保存集合元素,所以每次进行范围操作的时候都要进行排序;假如我们单独使用跳跃表来实现,虽然能执行范围操作,但是查找操作有 O(1)的复杂度变为了O(logN)。因此Redis使用了两种数据结构来共同实现有序集合。
xingliuhua